Accuracy improvement for 2D measurement using local mm/px scale factor map?
Hi everyone!
I’m Maxim, a student, and this is my first solo OpenCV-based project.
I’m developing an automated system in Python to measure dimensions and placement accuracy of antenna inlays on thin PVC sheets (inner layer of RFID plastic card).
Since I’m new to computer vision, please excuse me if my questions seem naive or basic.
Hardware setup
My current hardware setup consists of a Hikvision MVS-CS200-10GM camera (IMX183 sensor, 5462x3648 resolution, square pixels at 2.4 µm) combined with a fixed-focus lens (focal length: 12.12 mm).
The camera is rigidly mounted approximately 435 mm above the object, with minimal but somehow noticeable angle deviation.
Illumination comes from beneath the semi-transparent PVC sheets in order to reduce reflections and allow me to press the sheets flat with a glass cover.
Camera calibration
I’ve calibrated the camera using a ChArUco board (24x17 squares, total size 400x300 mm, square size 15 mm, marker size 11 mm), achieving an RMS calibration error of about 0.4 pixels.
The distortion coefficients from calibration are: [-0.0654247, 0.1312761, 0.0005760, -0.0004845, -0.0355601]
Accuracy goal
My goal is to achieve an ideal accuracy of 0.5 mm, although up to 1 mm is still acceptable.
Right now, the measured accuracy is significantly worse, and I’m struggling to identify the main source of the error.
Maximum sheet size is around 500×320 mm, usually less e.g. 490×310 mm, 410×320 mm.
Current image processing pipeline
- Image averaging from 9 frames
- Image undistortion (using calibration parameters)
- Gaussian blur with small kernel
- Otsu thresholding for sheet contour detection
- CLAHE for contrast enhancement
- Adaptive thresholding
- Morphological operations (open and close with small kernels as well)
findContours- Filtering contours by size, area, and hierarchy criteria
Initially, I tried applying a perspective transform, but this ended up stretching the image and introducing even more inaccuracies, so I abandoned that approach.
Currently, my system uses global X and Y scale factors to convert pixels to millimeters.
I suspect mechanical or optical limitations might be causing accuracy errors that vary across the image.
Next step
My next plan is to print a larger Charuco calibration board (A2 size, 12x9 squares of 30 mm each, markers 25 mm).
By placing it exactly at the measurement location, pressing it flat with the same glass sheet, I intend to create a local mm/px scale factor map to account for uneven variations.
I assume this will need frequent recalibration (possibly every few days) due to minor mechanical shifts and it’s ok.
Request for advice
Do you think building such a local scale factor map can significantly improve the accuracy of my system,
or are there alternative methods you’d recommend to handle these accuracy issues?
Any advice or feedback would be greatly appreciated.
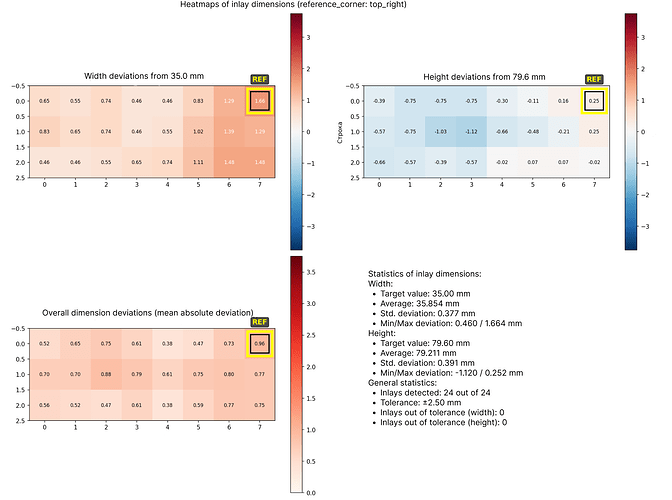
Attached images
Was going to upload 8 pictures including my setup, but it is limited here, so I will just attach measurement error heatmap. Let me know if I can share anything else.
- Measurement error heatmap
Thanks in advance for your help and patience!


